区块链在去年年底,今年年初的时候非常火爆,现在58同城也推出了区块链游戏:神奇矿。可能大家在微信群里都收到过扫码加入的邀请海报,看上去可以轻松赚钱的一个小游戏。那么神奇矿靠谱吗?神奇矿玩法规则是什么?一起来了解下吧!
58同城区块链游戏神奇矿可靠吗
58同城神奇矿,是58同城推出的一个区块链游戏。不过个人觉得大公司搞这种活动都是醉翁之意不在酒。58同城那么大一个app里面放那么一个小小的活动,一点也不起眼。估计也就是一个小羊毛。
最近活动不多,有空的话也可以做一下,神奇矿对于我们自身来说 ,没有什么损失,感兴趣的网友可以尝试一下。
58同城区块链游戏神奇矿玩法介绍
1、如何加入神奇矿
打开微信扫描二维码进入并下载58同城app:

使用微信登陆,进入个人中心点击神奇矿进入即可。
对于神奇矿来说,最重要的工具就是矿石,矿石的获得方式有两种途径,一种是邀请好友,一种是分享文章,相对来说都是非常简单的。
2、矿石的具体获取方法介绍
邀请矿工:活动期限内,矿工可通过微信海报邀请新矿工加入神奇矿,新矿工需登录并成功绑定微信。每次邀请成功后可获得一定数量矿石奖励。每天单个矿工邀请获得矿石奖励最大上限为50次。每天内邀请超过50个新矿工,超过部分将不会获得矿石奖励,但还可参与幸运矿工的争夺活动。邀请越多、获得超大奖金机会越大哦~
注:被邀请的新矿工的58同城账号及微信号需未参与过神奇矿才可以哦~
分享帖子:每天矿工分享帖子被其他人查看后可获得一定数量矿石奖励。每天每个矿工分享帖子获得矿石的上限为10次。超过10次,对于超过的部分将不会获得矿石奖励。
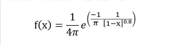
挖矿获得矿石的数量随挖矿比例的变化公司如下:

其中x为当前已挖出矿石占总矿石的比例,f(x)为矿石数量。 随着挖矿比例的增加,挖矿难度升高,矿石数量随挖矿比例变化的趋势示意图如下:

3、如何瓜分奖池?
奖池是什么?

如何瓜分奖池?

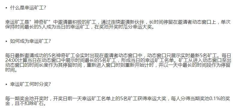
4、幸运矿工秘籍

5、竞拍规则
竞拍出价规则

竞拍榜单规则

竞拍分奖规则

6、核心技术介绍
神奇矿是基于区块链技术实现的价值生态体系,矿石、奖池、交易记录等信息一旦创建将是唯一、不可逆、不可修改的。用户的行为信息也将会被利用区块链技术加密存储,并被严格的保密。开奖信息、奖池金额等信息公开透明。
7、兑换规则
何时兑奖

如何兑换矿石

如何领取奖金
竞拍成功如何领奖金

幸运矿工如何领奖金

其它说明:

以上便是小编带来的所有内容,希望大家喜欢。
