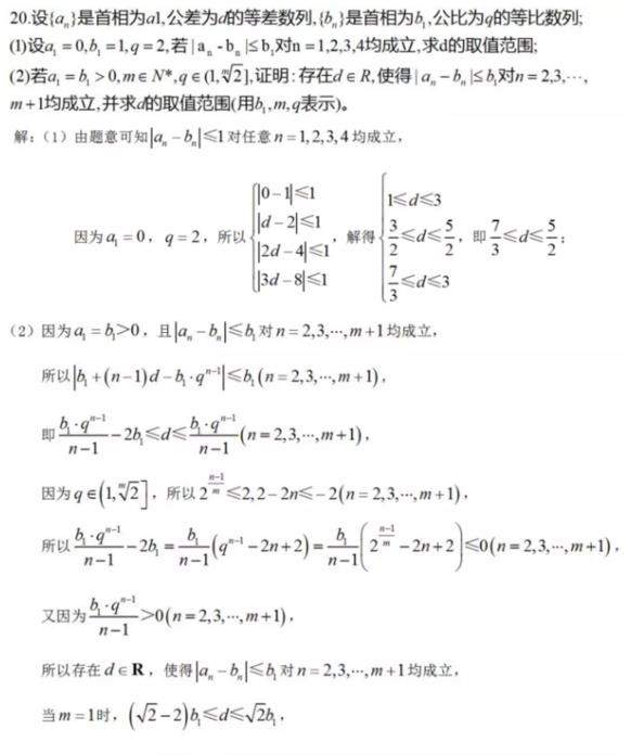
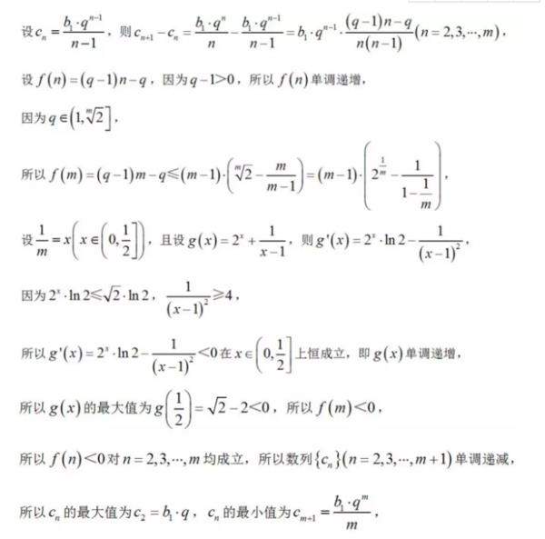
江苏的高考卷一直有全国最难之称,那么2018江苏高考数学试卷真题及答案谁有呢?百科问题网小编为大家带来2018江苏高考数学试卷真题的相关资讯,感兴趣的小伙伴赶紧来看看吧!
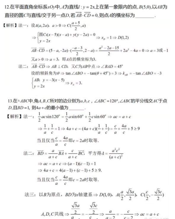
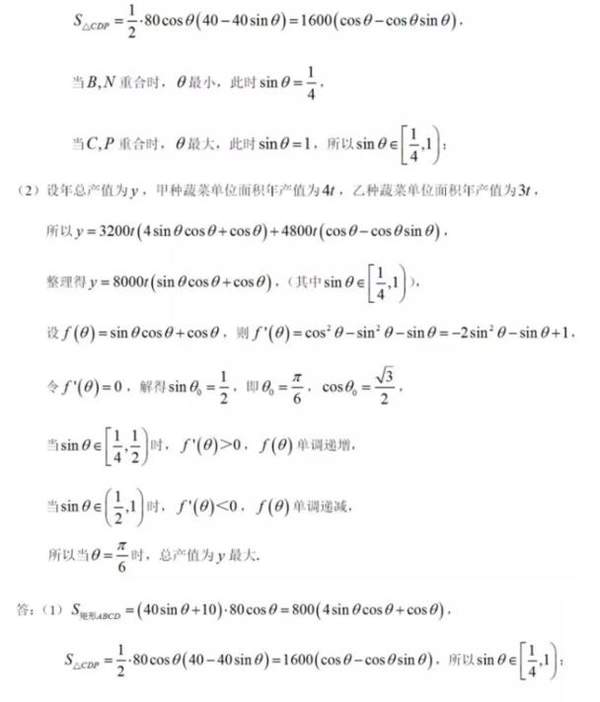
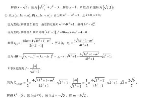
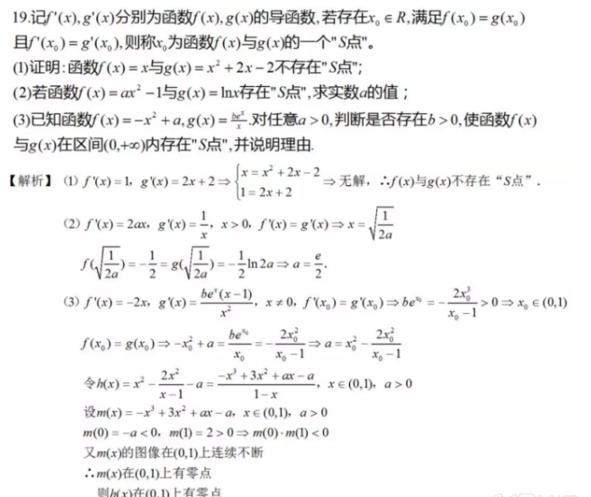
【2018江苏高考数学试卷真题】及答案解析










以上就是今天的全部内容了,希望对大家有帮助,更多资讯请关注百科问题网网哦!
江苏的高考卷一直有全国最难之称,那么2018江苏高考数学试卷真题及答案谁有呢?百科问题网小编为大家带来2018江苏高考数学试卷真题的相关资讯,感兴趣的小伙伴赶紧来看看吧!
【2018江苏高考数学试卷真题】及答案解析










以上就是今天的全部内容了,希望对大家有帮助,更多资讯请关注百科问题网网哦!
免责声明:
《【2018江苏高考数学试卷真题】及答案解析》整理自网络,内容不代表本站立场,如侵犯到您的权力,请联系我们处理。